Krzysiek Chodkiewicz - Ethanol IR spectrum

Krzysiek Chodkiewicz - Ethanol IR spectrum

Krzysiek Chodkiewicz

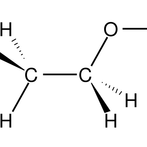
The infrared wavelenth's absorbed by ethanol thin film were calculated into Hz. This process created eight sounds - eight frequencies that are used in the song. Only drums are not alcohol processed sounds.

Related tracks

See all