Home
Listen in app
Abdominal Fat Linked to Reduced Strength and Mobility in Adults

Abdominal Fat Linked to Reduced Strength and Mobility in Adults

Aging-US Podcast

51
3:31
Jul 7, 2025

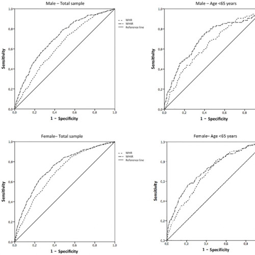
BUFFALO, NY — July 8, 2025 — A new #research paper was #published in Aging (Aging-US) Volume 17, Issue 6, on May 30, 2025, titled “Impact of waist-to-hip and waist-to-height ratios on physical performance: insights from …

#aging#physicalactivity#bodycomposition#exercise#openaccess#openscience#peerreviewed#journal#publication#publishing
Aging-US Podcast
Aging-US Podcast
109 Followers

Related tracks

See all
  • Meet our poetry competition winners – Dementia together podcast October 2025
    Meet our poetry competition winners – Dementia together podcast October 2025
    Alzheimer's Society
    257
    20:37
    5d
  • Behind the Study: Gut Microbiome Links to Age-Related Traits and ApoM Protein
    Behind the Study: Gut Microbiome Links to Age-Related Traits and ApoM Protein
    Aging-US Podcast
    59
    7:44
    2w
  • Lifelong Companionship Protects Aging Rat Brains from Cognitive Decline
    Lifelong Companionship Protects Aging Rat Brains from Cognitive Decline
    Aging-US Podcast
    45
    3:32
    4d
  • New Insights into HER2-Mutated Non-Small Cell Lung Cancer in Brazil
    New Insights into HER2-Mutated Non-Small Cell Lung Cancer in Brazil
    Oncotarget Podcast
    51
    5:01
    4d

Enjoy the full SoundCloud experience in the app

Google Play LinkApp Store Link
  • Charts
  • Company
  • About us
  • Directory
  • Newsroom
  • Jobs
  • Developers
  • Legal
  • Copyright
    • Follow us on Instagram
    • Like our Facebook page
    • Follow us on Twitter
© 2025 SoundCloudLanguage:
  • Home

    Home

  • Feed

    Feed

  • Search

    Search

  • Library

    Library

  • Download

    Download