Home
Listen in app
Colorectal Cancer Survival Predicted by AI Using Clinical and Molecular Features

Colorectal Cancer Survival Predicted by AI Using Clinical and Molecular Features

Oncotarget Podcast

47
3:23
Dec 17, 2025

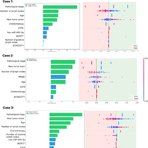
BUFFALO, NY - December 17, 2025 – A new #research paper was #published in Oncotarget (Volume 16) on December 15, 2025, titled “Machine learning-based survival prediction in colorectal cancer combining clinical and biolog…

#cancer#colorectalcancer#machinelearning#oncology#paperspotlight#openaccess#openscience#peerreview#journal#publication
Oncotarget Podcast
Oncotarget Podcast
54 Followers

Related tracks

See all
  • Younger Biological Age May Increase Depression Risk in Older Women During COVID-19
    Younger Biological Age May Increase Depression Risk in Older Women During COVID-19
    Aging-US Podcast
    26
    3:21
    1d
  • Arts and Crafts Architecture across America
    Arts and Crafts Architecture across America
    YaleUniversity
    11
    35:14
    1w
  • Aging-US Now on ResearchGate, Enhancing Visibility for Authors and Readers
    Aging-US Now on ResearchGate, Enhancing Visibility for Authors and Readers
    Aging-US Podcast
    41
    2:11
    2d
  • Colorectal Cancer Survival Predicted by AI Using Clinical and Molecular Features
    Colorectal Cancer Survival Predicted by AI Using Clinical and Molecular Features
    Oncotarget Podcast
    47
    3:23
    2d

Enjoy the full SoundCloud experience in the app

  • Charts
  • Company
  • About us
  • Directory
  • Newsroom
  • Jobs
  • Developers
  • Legal
  • Copyright
    • Follow us on Instagram
    • Like our Facebook page
    • Follow us on Twitter
© 2025 SoundCloudLanguage:
  • Home

    Home

  • Feed

    Feed

  • Search

    Search

  • Library

    Library

  • Download

    Download